1) Решите уравнение:

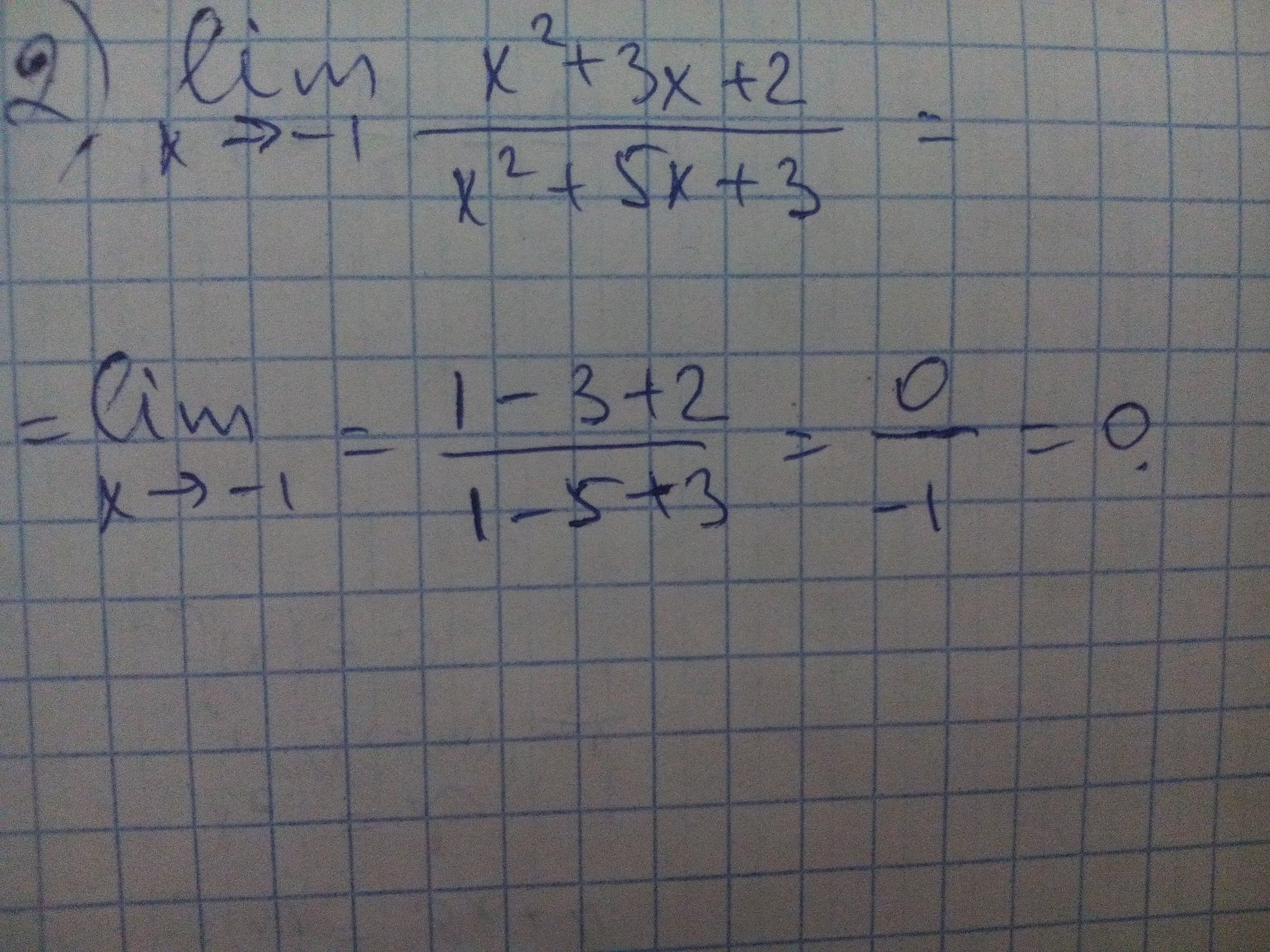
2) Вычислите предел:

3) Найти точки экстремума функции:

4) Найти тангенс угла наклона касательной к графику функции y = f(x) в точке M.

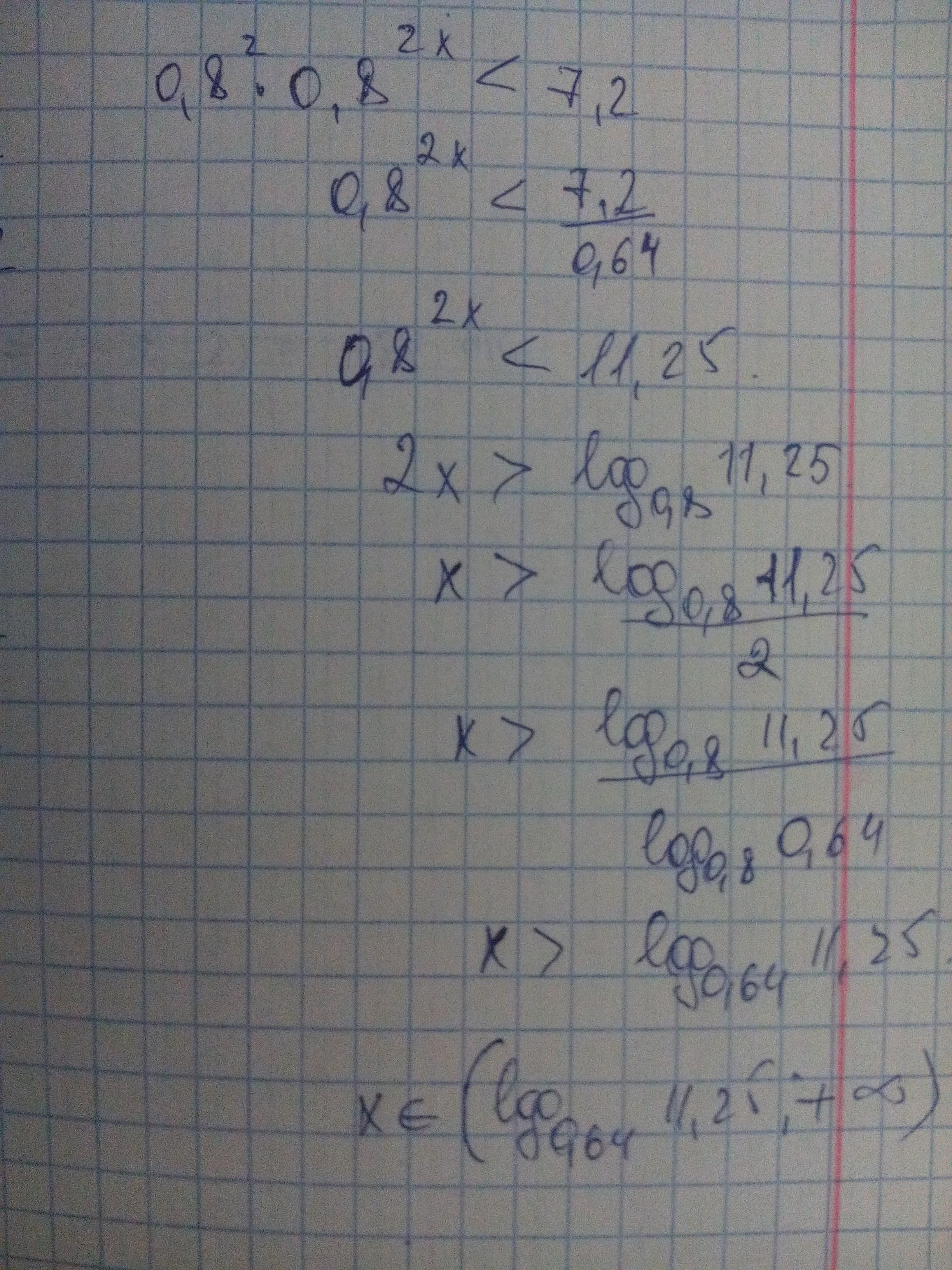
5) Решите неравенство:
Ответы
Ответ дал:
0
смотри решение на фото
Приложения:





Вас заинтересует
7 лет назад
9 лет назад
9 лет назад
10 лет назад
10 лет назад