• Предмет: Алгебра
  • Автор: Amaliau
  • Вопрос задан 10 лет назад

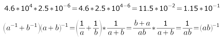
помогите решить 5,6
Огроооомное спасибо

Приложения:

Ответы

Ответ дал: LFP
0
'''''''''''''''''''''''''''''''''''''''''''''''''''''''''
Приложения:
Вас заинтересует