• Предмет: Математика
  • Автор: Japix
  • Вопрос задан 10 лет назад

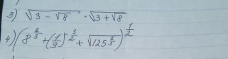
Помогите решить, пожалуйста!

Приложения:

Ответы

Ответ дал: anarchist32
0
3) sqrt(3-sqrt(8))*(sqrt(3+sqrt(8))=sqrt((3-sqrt(8))*(3+sqrt(8)))=sqrt(9-8)=sqrt(1)=1
Вас заинтересует