• Предмет: Алгебра
  • Автор: Dimby
  • Вопрос задан 10 лет назад

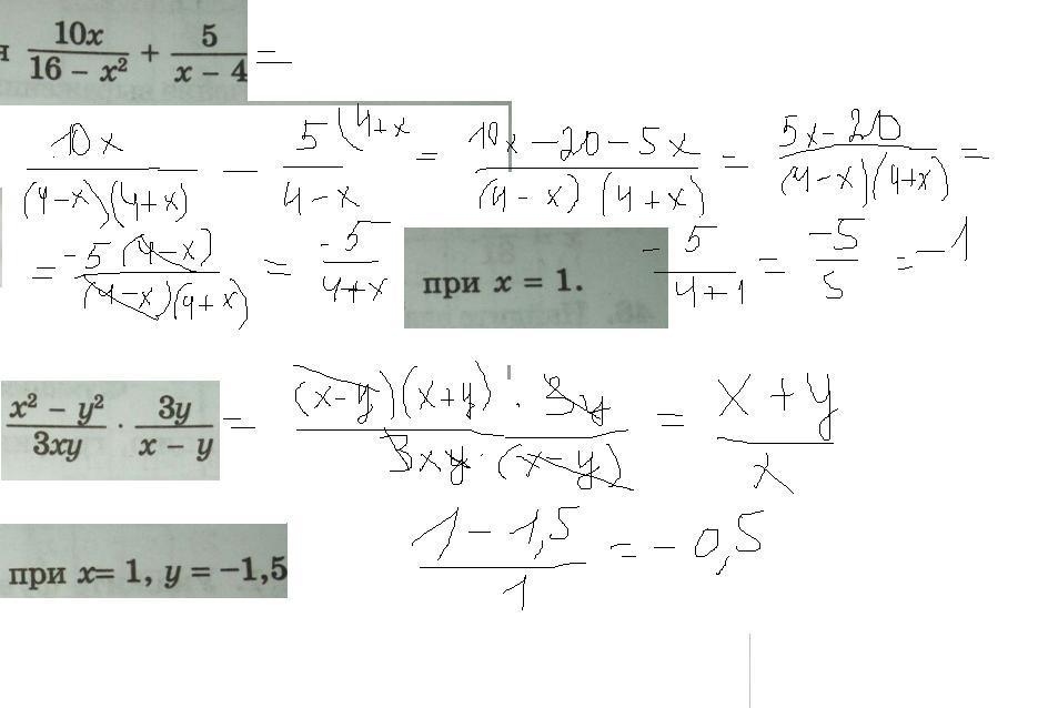
Помогите решить 33,35, пожалуйста

Приложения:

Ответы

Ответ дал: darpla
0
решение в приложенном файле
Приложения:
Ответ дал: Dimby
0
Большое вам спасибо)
Вас заинтересует