Ответы
Ответ дал:
0
4*(1+сosπ/4)/2-4*(1+cosπ/4)²/4-4=2*(1+√2/2)-(1+√2/2)²-4=
=2+√2-1-√2-1/2-4=-3,5
=2+√2-1-√2-1/2-4=-3,5
Ответ дал:
0
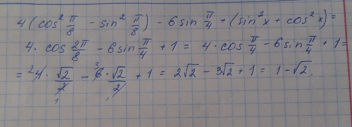
У меня получилось вот так. Можешь попробовать по формулам
Приложения:

Вас заинтересует
2 года назад
2 года назад
7 лет назад
7 лет назад
9 лет назад
10 лет назад