Ответы
Ответ дал:
0
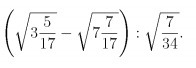
=(√56/√17 - √126/√17):√17/√34= (√56/√17-√126/√17)·√17·√2 :√7 =
√56·√17·√2 √126·√17·√2
_________ - __________ = ( сократим на √17 и на √7) =
√17·√7 √17·√7
√8·√2 - √18·√2 = √16 - √36 = 4 - 6 = - 2
√56·√17·√2 √126·√17·√2
_________ - __________ = ( сократим на √17 и на √7) =
√17·√7 √17·√7
√8·√2 - √18·√2 = √16 - √36 = 4 - 6 = - 2
Ответ дал:
0
=
Вас заинтересует
3 года назад
3 года назад
8 лет назад
10 лет назад
10 лет назад
10 лет назад