СРОЧНО !!! ПОМОГИТЕ !!!
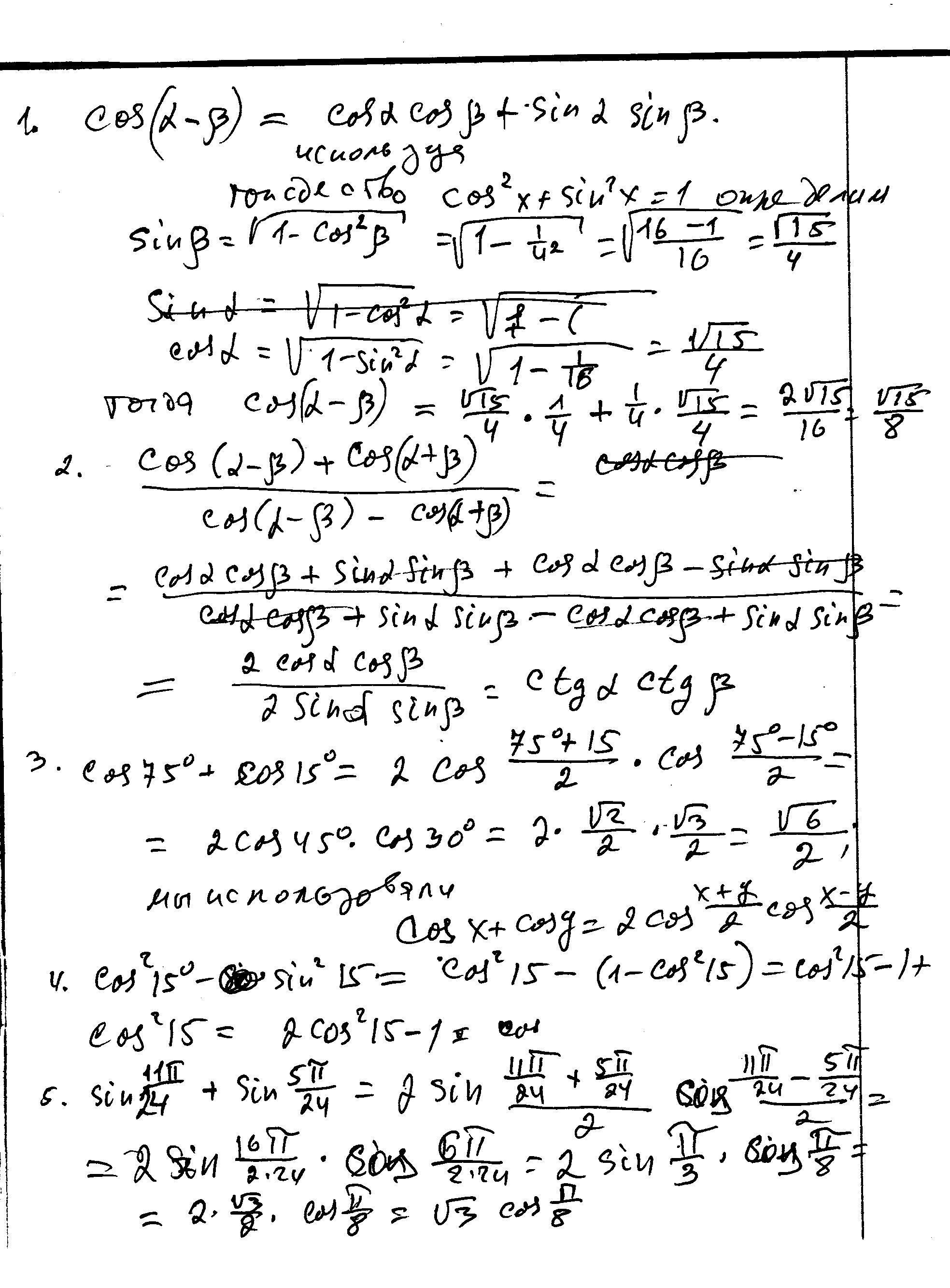
1) Вычислите: cos (
), если
;
и 
2) Упростить: 
3) Вычислите: cos 75°+cos 15°
4) Упростите: cos² 15° - sin² 15°
5) Вычислить: 
Ответы
Ответ дал:
0
не понравилось решение 4, но ничего другого нее вижу. И не очень понял ограничения первой задачи.
Приложения:
Ответ дал:
0
Не за что. Остальное не нужно было?
Ответ дал:
0
Нужно. Вот адрес: http://znanija.com/task/19045313
Ответ дал:
0
Ну вот. Делите еще. Удалили.
Ответ дал:
0
http://znanija.com/task/19045616
Ответ дал:
0
http://znanija.com/task/19045627
Вас заинтересует
2 года назад
2 года назад
8 лет назад
8 лет назад
10 лет назад
10 лет назад
10 лет назад
10 лет назад