• Предмет: Алгебра
  • Автор: Слюсарева
  • Вопрос задан 10 лет назад

помогите пожалуйста, парюсь не могу решить.

Приложения:

Ответы

Ответ дал: raemundoo
0
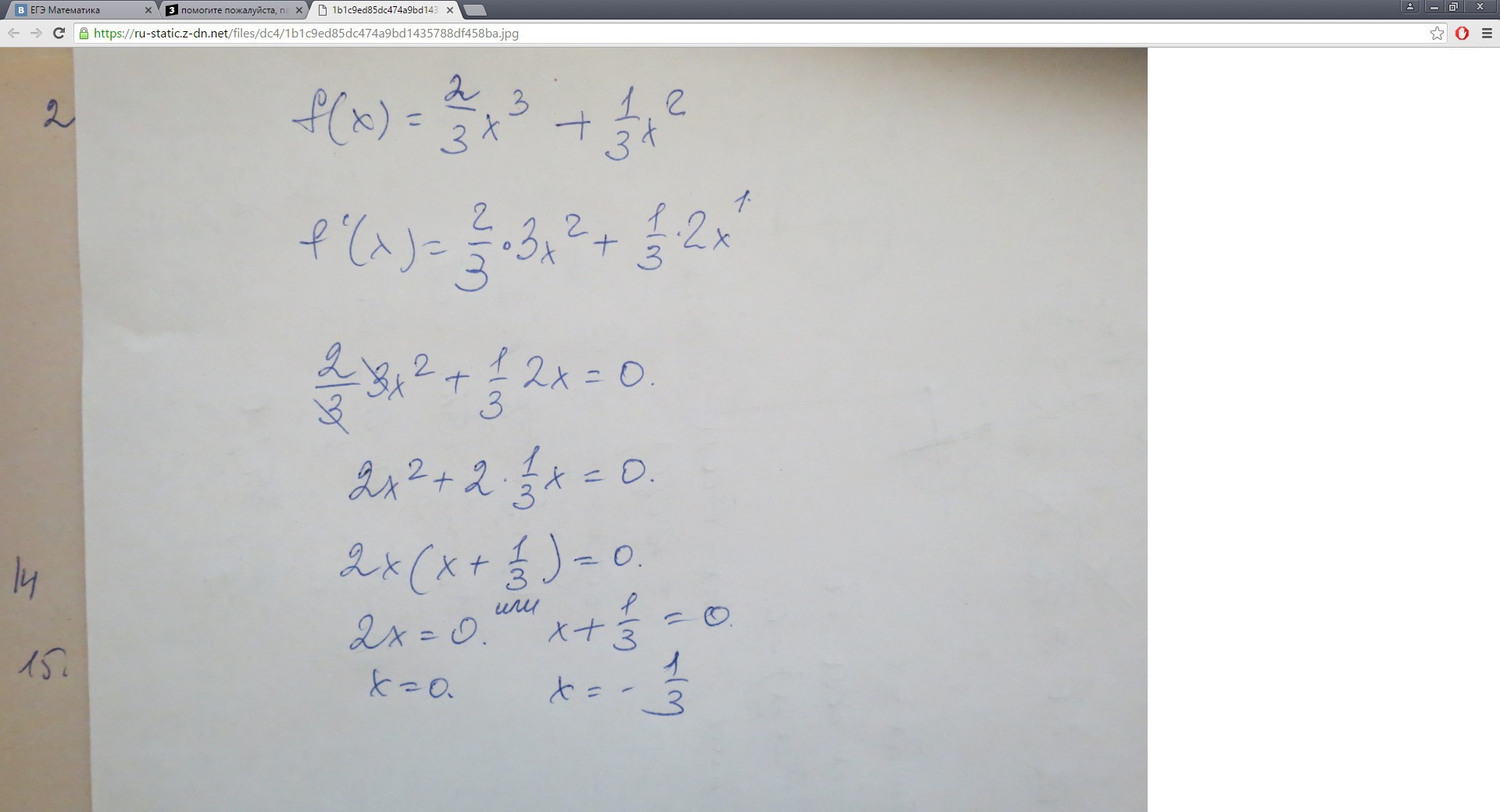
Надеюсь, не ошиблась...
Приложения:
Ответ дал: Слюсарева
0
похоже не судьба( не загружаеться, просто черный экран вылазит.
Ответ дал: raemundoo
0
да что же такое
Ответ дал: raemundoo
0
а так?
Ответ дал: Слюсарева
0
спасибо огромное, я тебе благодарна очень
Ответ дал: raemundoo
0
не за что))
Вас заинтересует