Ответы
Ответ дал:
0
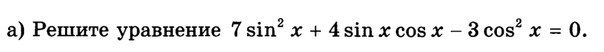
Обозначим, что cos x ≠ 0 и разделим уравнение на cos^2 x
Получим 7 tg^2 x + 4tg x - 3 = 0, введем новую переменную tg x = t
7t^2 +4t - 3 = 0
D = 16 - 4 * (-3) * 7 = 100
t1 = (-4 + 10)/14 = 3/7
t2 = (-4-10)/14 = -1
tg x = 3/7 tg x = -1
x = arctg 3/7 + Пn x = -П/4 + Пn
Получим 7 tg^2 x + 4tg x - 3 = 0, введем новую переменную tg x = t
7t^2 +4t - 3 = 0
D = 16 - 4 * (-3) * 7 = 100
t1 = (-4 + 10)/14 = 3/7
t2 = (-4-10)/14 = -1
tg x = 3/7 tg x = -1
x = arctg 3/7 + Пn x = -П/4 + Пn
Ответ дал:
0
А как получилось 4tgx? 4sinxcosx / cos^2x почему равно 4tgx?
Ответ дал:
0
Потому что cos x сокращается и получается 4 sinx/cosx, а sinx/cosx = tg x
Вас заинтересует
2 года назад
2 года назад
8 лет назад
8 лет назад
10 лет назад
10 лет назад