• Предмет: Алгебра
  • Автор: Pleomond
  • Вопрос задан 10 лет назад

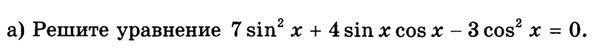
Фото. Только с ходом решения

Приложения:

Ответы

Ответ дал: ellabcgbvc
0
прикреплено фото .....
Приложения:
Вас заинтересует