Ответы
Ответ дал:
0
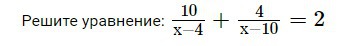
О.З: (х-4)(х-10)
10(х-10)+4(х-4)=2(х-4)(х-10)
10х-100+4х-16-2х^2+20х+8х-80=0
-2х^2+42х-196=0 (сократим все на 2)
х^2+21х-98=0
D=441-392=49
√D=7
x1=21+7/-2=-14
x2=21-7/-2=-7
10(х-10)+4(х-4)=2(х-4)(х-10)
10х-100+4х-16-2х^2+20х+8х-80=0
-2х^2+42х-196=0 (сократим все на 2)
х^2+21х-98=0
D=441-392=49
√D=7
x1=21+7/-2=-14
x2=21-7/-2=-7
Вас заинтересует
3 года назад
3 года назад
8 лет назад
8 лет назад
10 лет назад
10 лет назад
10 лет назад
10 лет назад