• Предмет: Математика
  • Автор: Валерий1917
  • Вопрос задан 10 лет назад

Как решать? Объясните, пожалуйста!

Приложения:

Ответы

Ответ дал: Kurolessk129
0
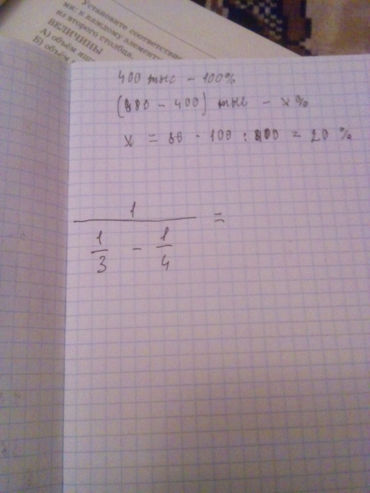
Нужно привести к общему знаменателю , (здесь 12 , т.к. 3*4=12), значит 1*4-1*3/12=4-3/12=1/12
P.s.: / - черта дроби .
:)
Ответ дал: Настямирош
0
ну 12 ,а целой части нет поэтому 0,12
Ответ дал: Настямирош
0
а какой класс и номер теста ?
Ответ дал: Валерий1917
0
11 класс, вариант 26, задание 1. ЕГЭ 2016 И.В. Ященко
Ответ дал: Валерий1917
0
Спасибо. На ЕГЭ были легче задания)
Ответ дал: Kurolessk129
0
:)
Ответ дал: Настямирош
0
У нижних дробей находим общий знаменатель это 12 значит четыре двенадцатых минус три двенадцатых равно одна двенадцатая. Черта между ними обозначает знак деления . Один делим на одну двенадцатую и получается одна двенадцатая . Ответ : одна двенадцатая.
Вас заинтересует