Ответы
Ответ дал:
0
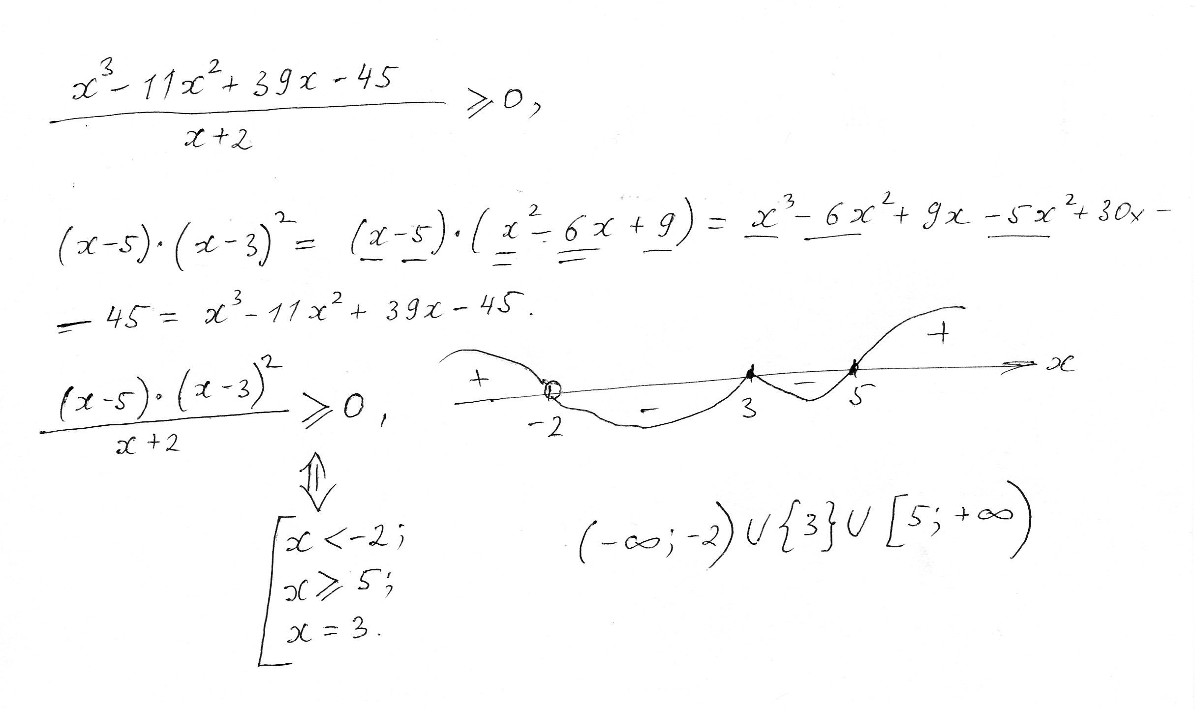
А я решил, вот! на листочке! см. прикрепленное изображение ====+++>>
Приложения:

Ответ дал:
0
Спасибо большое!
Вас заинтересует
2 года назад
2 года назад
7 лет назад
7 лет назад
9 лет назад
9 лет назад
10 лет назад