• Предмет: Алгебра
  • Автор: Toriyi123
  • Вопрос задан 10 лет назад

ПОМОГИТЕ РЕШИТЬ НЕРАВЕНСТВО СРОЧНО!!!!!

Приложения:

Ответы

Ответ дал: clever271
0
в---------------------
Приложения:
Ответ дал: m11m
0
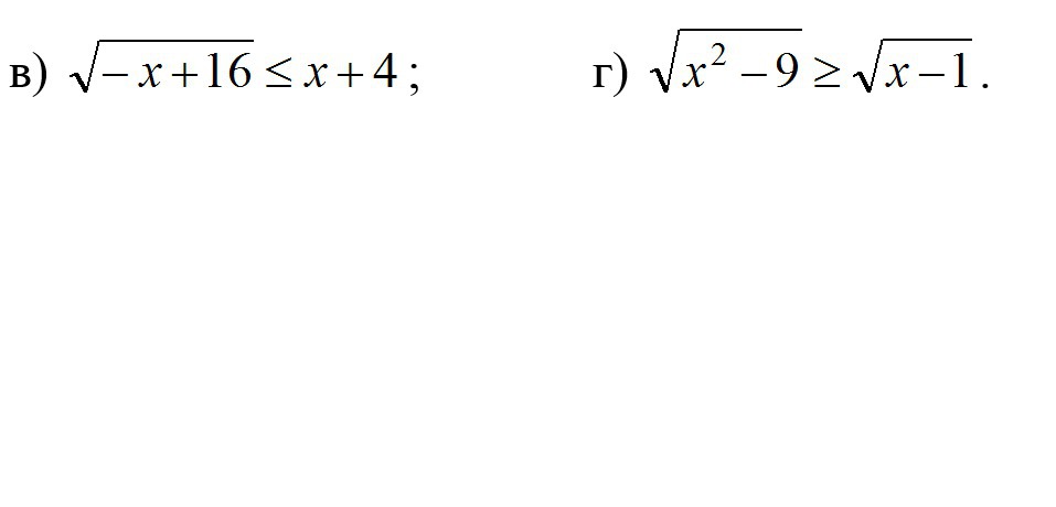
в)
{-x+16≥0
{x+4≥0
{-x+16≤(x+4)²

1) -x+16≥0       2) x+4≥0           3) -x+16≤(x+4)²
    -x≥ -16             x≥ -4                 -x+16≤x²+8x+16
     x≤16                                        -x²-x-8x+16-16≤0
                                                    -x²-9x≤0
                                                     x²+9x≥0
                                                     x(x+9)≥0
                                                     x=0      x= -9
                                                           +              -               +
                                                    ---------- -9 ---------- 0 ------------
                                                     \\\\\                      \\\\\\
                                                     x∈(-∞; -9]U[0; +∞)

{x≤16
{x≥-4
{x∈(-∞; -9]U[0; +∞)

x∈[0; 16]

г) 
{x-1≤x²-9
{x-1≥0

1) x-1≤x²-9                 2) x-1≥0
    -x²+x-1+9≤0               x≥1
    x²-x-8≥0
    x²-x-8=0
    D=1+32=33
    x₁=(1-√33)/2
    x₂=(1+√33)/2
      +                                -                                 +
----------- (1-√33)/2 ---------------- (1+√33)/2 -------------
\\\\\\\                                                     \\\\\\\\

x∈[(1+√33)/2; +∞)
Приложения:
Вас заинтересует