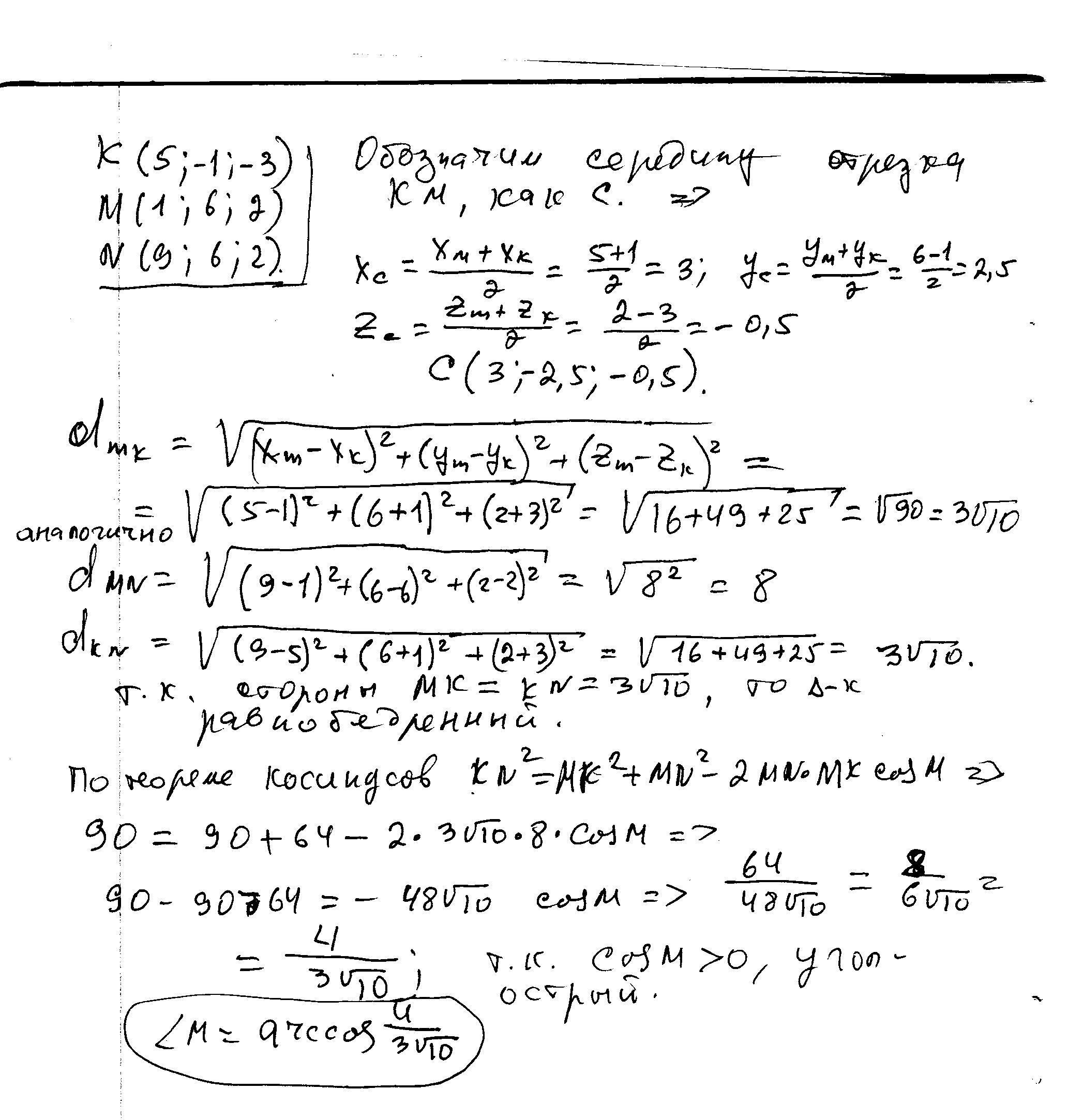
Вершины треугольника KMN имеют координаты K(5;-1;-3) M(1;6;2) N(9;6;2). Найдите а)координаты середины сторон KM б)длины сторон треугольника и определите вид этого треуг(равностороний,равнобедренный,разносторонний) в)вычисть косинус угла M и определите вид этого угла (острый,прямой,тупой)
Ответы
Ответ дал:
0
решение в скане.............
Приложения:

Ответ дал:
0
По стороне основания 4 и боковому ребру 2,найдите объем правильной призмы. а)треугольной, б)четырехугольной. Поможешь?
Ответ дал:
0
Кажется я сейчас именно там
Вас заинтересует
2 года назад
2 года назад
7 лет назад
9 лет назад
9 лет назад
10 лет назад