Ответы
Ответ дал:
0
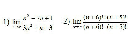
1)lim n²(1- 7/n + 1/n²)/n²(3+ 1/n+ 3/n²) =1/3
2)lim ((n+6)(n+5)!+(n+5)!)/((n+6)(n+5)!-(n+5)!) = lim (n+6+1)/(n+6-1) = lim (n+7)/(n+5)= lim n(1+ 7/n)/n(1+ 5/n)=1
2)lim ((n+6)(n+5)!+(n+5)!)/((n+6)(n+5)!-(n+5)!) = lim (n+6+1)/(n+6-1) = lim (n+7)/(n+5)= lim n(1+ 7/n)/n(1+ 5/n)=1
Вас заинтересует
2 года назад
2 года назад
10 лет назад
10 лет назад