Ответы
Ответ дал:
0
Надеюсь, всё будет понятно.
Приложения:
Ответ дал:
0
Спасибо
Ответ дал:
0
Выручил)
Ответ дал:
0
только как понять a = 1 > 0?
Ответ дал:
0
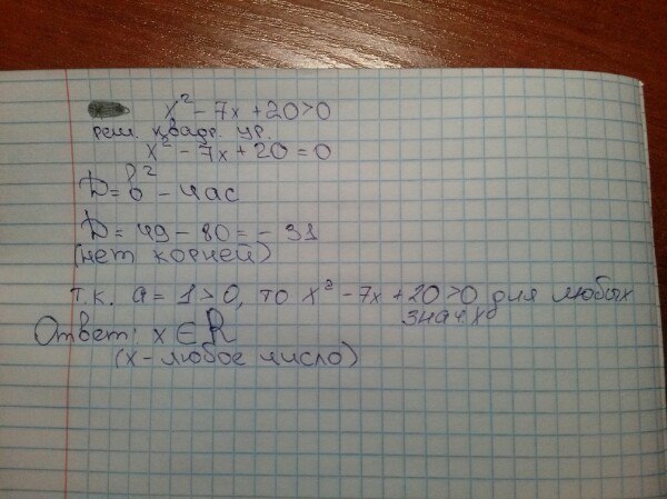
x² - 7x + 20 > 0
D = (-7)² - 4 · 1 · 20 = 49 - 80 < 0
Рассмотрим график функции y = x² - 7x + 20:
1) Ветви направлены вверх
2) D < 0 ⇒ график лежит выше оси Ox.
Значит выражение x² - 7x + 20 будет больше нулю при любых значениях x.
Ответ: x ∈ R
D = (-7)² - 4 · 1 · 20 = 49 - 80 < 0
Рассмотрим график функции y = x² - 7x + 20:
1) Ветви направлены вверх
2) D < 0 ⇒ график лежит выше оси Ox.
Значит выражение x² - 7x + 20 будет больше нулю при любых значениях x.
Ответ: x ∈ R
Приложения:
Ответ дал:
0
Спасибо)
Вас заинтересует
3 года назад
3 года назад
8 лет назад
8 лет назад
10 лет назад
10 лет назад
10 лет назад