• Предмет: Алгебра
  • Автор: gfdghhdghfdf
  • Вопрос задан 10 лет назад

СРОЧНО!!!!!!!!! ПОЖАЛУЙСТА ПОМОГИТЕ!!!!!!!!!!!

Приложения:

Ответы

Ответ дал: Аноним
0
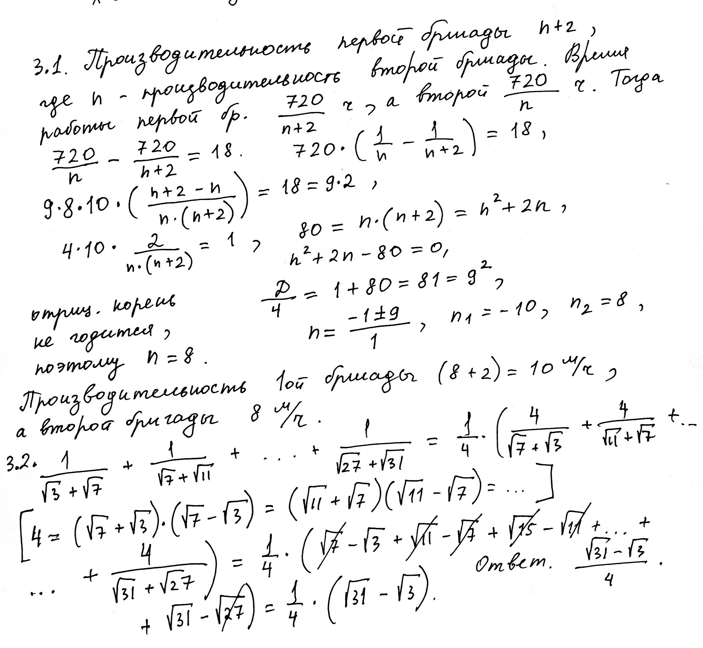
я решил на листочке ==>> /см. прикрепленное изображение/
Приложения:
Вас заинтересует