• Предмет: Геометрия
  • Автор: Аноним
  • Вопрос задан 10 лет назад

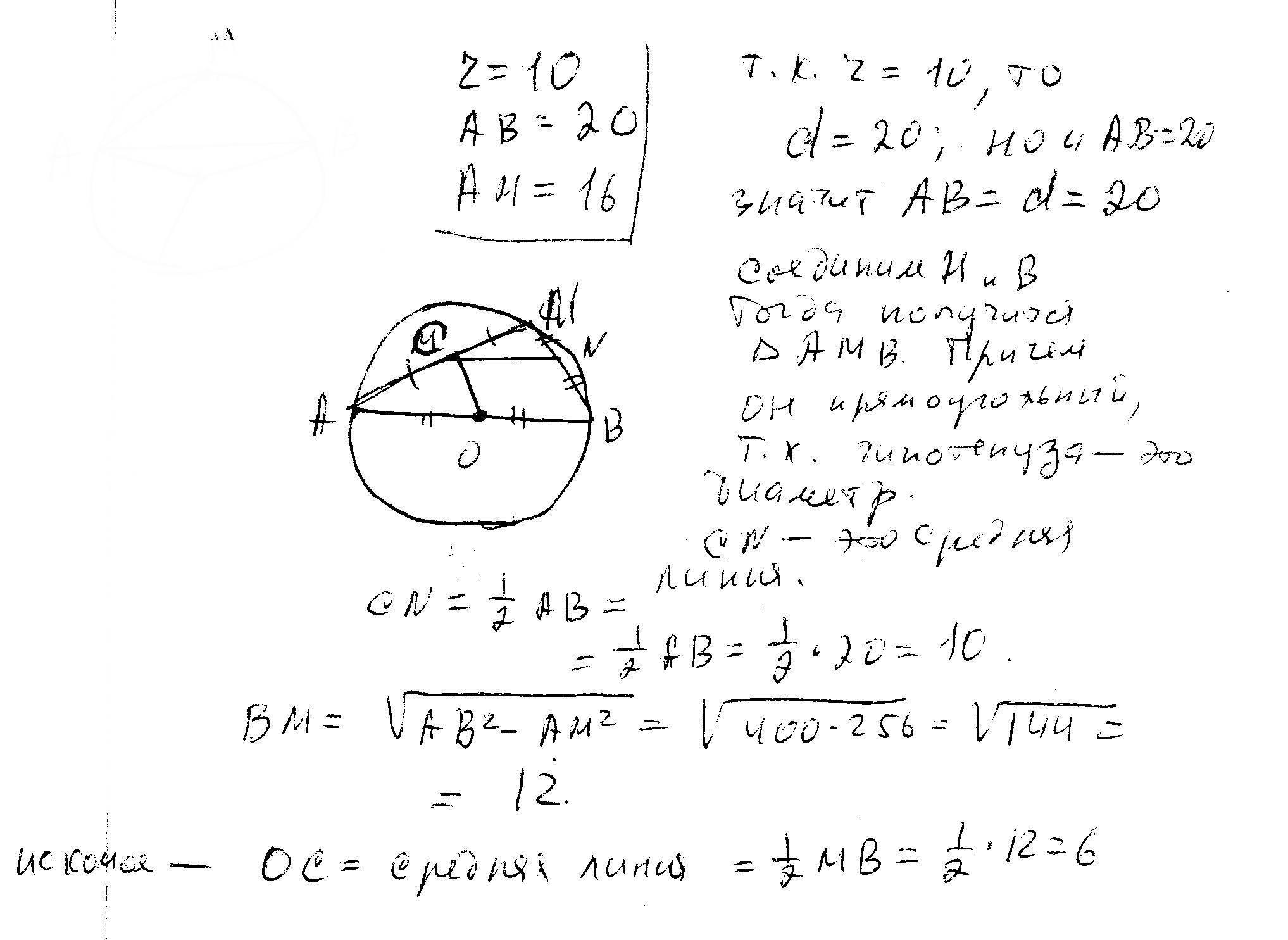
Найдите расстояние между серединами хорд AB и AM окружности радиуса 10, если длины этих хорд соответственно равны 20 и 16.
Пожалуйста, с объяснением и, желательно, с чертежом. Буду благодарен!

Ответы

Ответ дал: ужнеужели
0
решение в скане..............
Приложения:
Ответ дал: ужнеужели
0
Я снова не то искал. Все, пора закругляться.
Вас заинтересует