ПОМОГИТЕ!!!!!!!! РЕШИТЬ!!!!!!!!
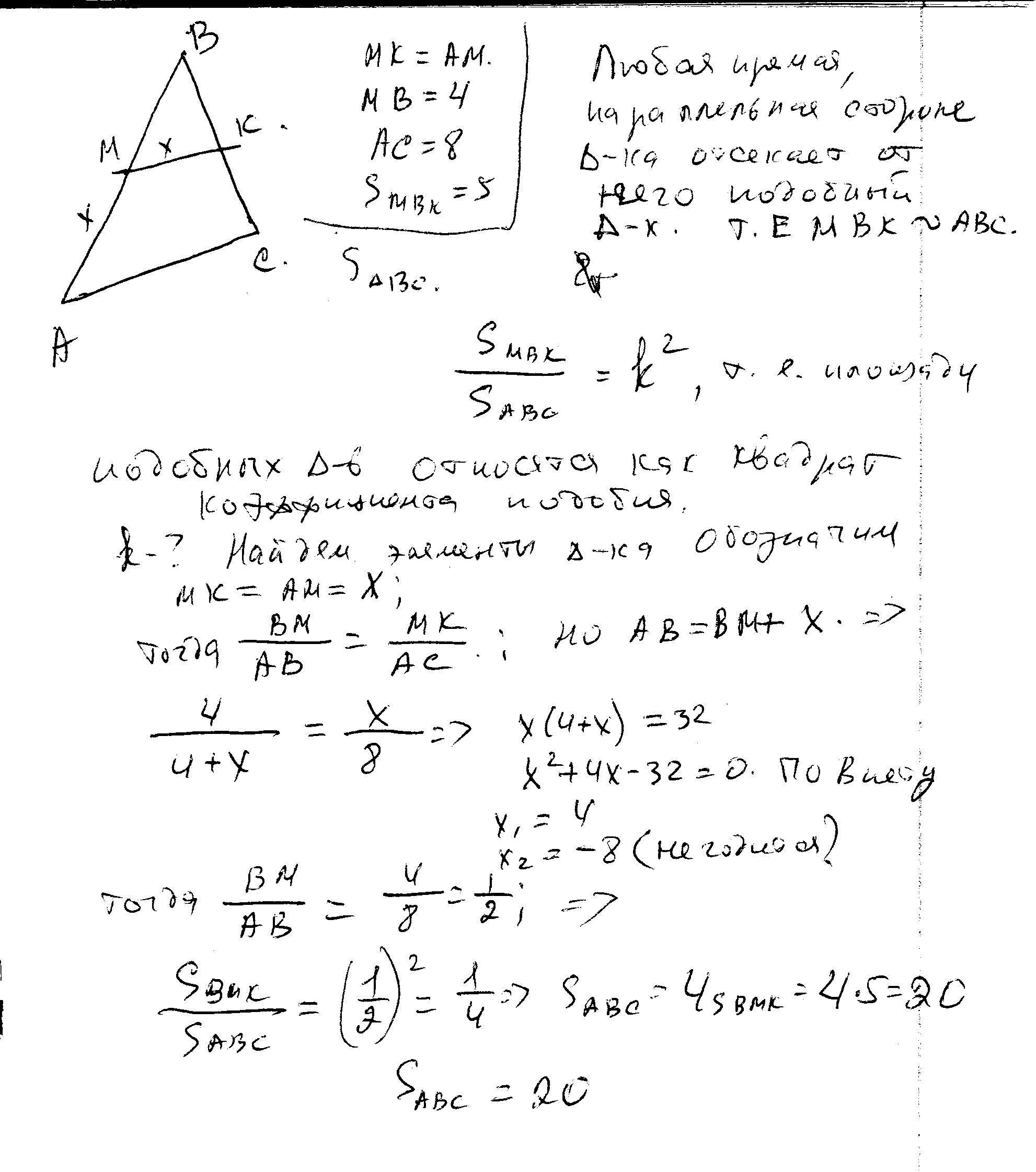
Прямая, параллельная стороне АС треугольника АВС, пересекает сторону АВ в точке М, а сторону ВС – в точке К. Найдите площадь треугольника АВС, если ВМ=4 см, АС=8 см, АМ=МК, а площадь треугольника МВК равна 5 см².
Ответы
Ответ дал:
0
решение в скане.........
Приложения:

Вас заинтересует
2 года назад
2 года назад
7 лет назад
7 лет назад
9 лет назад
9 лет назад
10 лет назад