Ответы
Ответ дал:
0
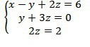
2z=2--z=1
x-y+2=6--x-y=4--y=x-4
y+3z=0--y=-3
x-4=-3--x=1
x=1; y=-3; z=1
x-y+2=6--x-y=4--y=x-4
y+3z=0--y=-3
x-4=-3--x=1
x=1; y=-3; z=1
Ответ дал:
0
проще простого))))))проверишь
Приложения:

Вас заинтересует
2 года назад
2 года назад
7 лет назад
9 лет назад