Ответы
Ответ дал:
0
/см. прикрепленное изображение/++++++++++++++++++++++>>
Приложения:

Ответ дал:
0
можно по понянетней пожалуйста
Ответ дал:
0
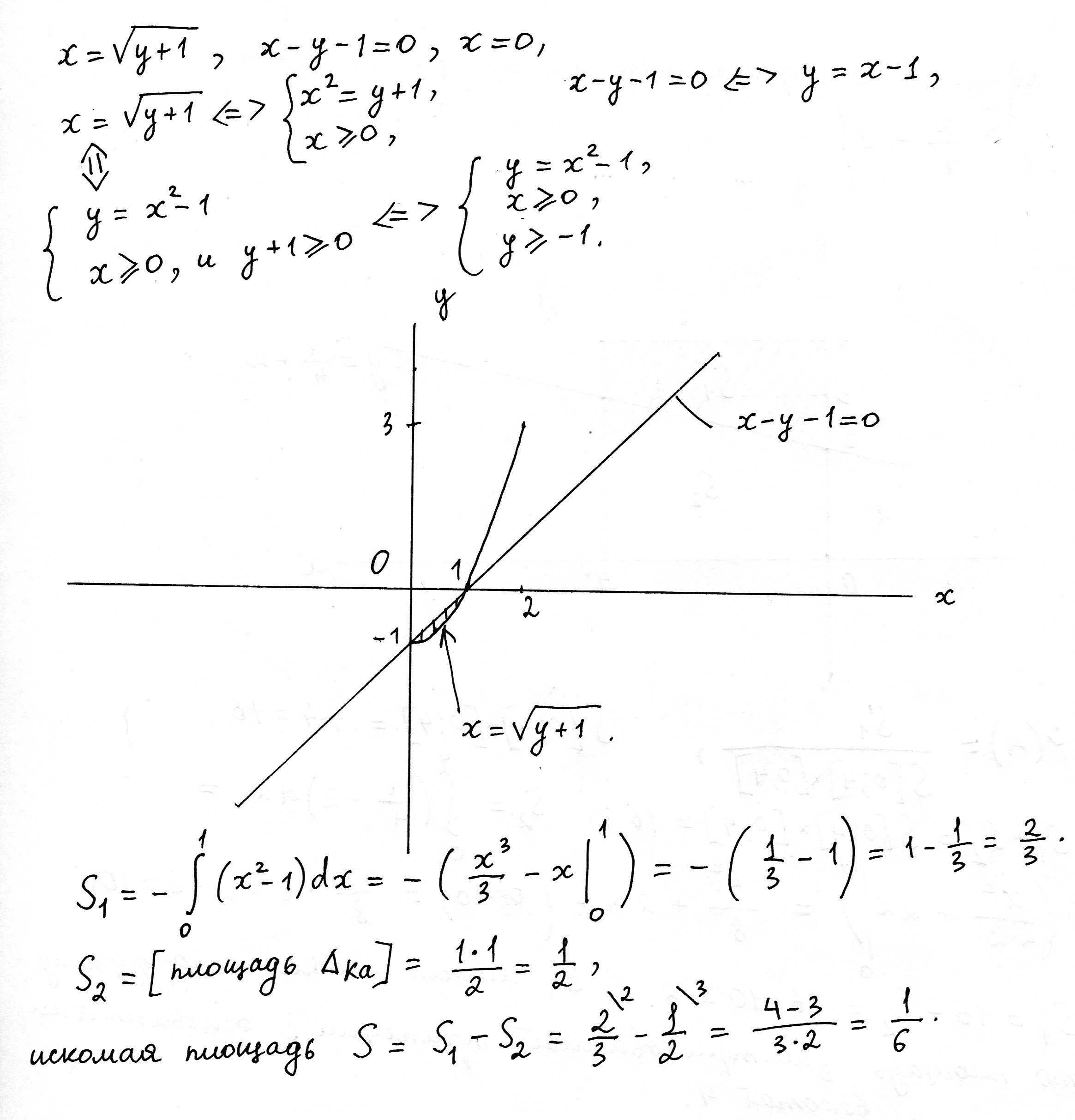
Площадь, которую требуется найти, у меня заштрихована. Перед интегралом стоит знак "минус", потому что площадь, вычисленная с помощью интеграла, если она лежит ниже оси OX, получается отрицательной.
Вас заинтересует
2 года назад
2 года назад
7 лет назад
7 лет назад
9 лет назад
10 лет назад