• Предмет: Математика
  • Автор: josya2010
  • Вопрос задан 10 лет назад

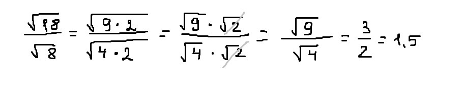
Вычислите: √18 / √8 с подробным решением.

Ответы

Ответ дал: gayurovagulnoz
0
 sqrt{18} / sqrt{8} = sqrt{3*3*2} / sqrt{2*2*2} =3 sqrt{2} /2 sqrt{2} =3/2=1,5
Ответ дал: esmilya
0
Решениеееееееееееееее
Приложения:
Вас заинтересует