Ответы
Ответ дал:
0
Решениеееееееееееееееееееее
Приложения:

Ответ дал:
0
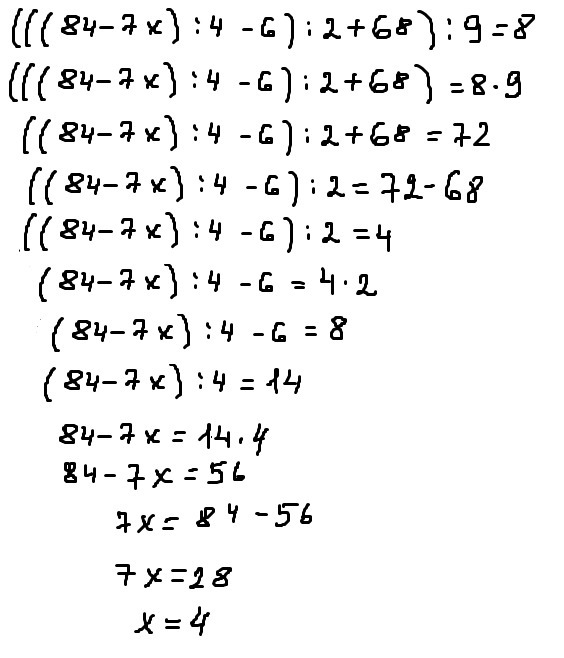
((( 84 - 7х ) : 4 - 6 ) : 2 + 68 ) : 9 = 8
(( 84 - 7х ) : 4 - 6 ) : 2 + 68 = 72
( 84 - 7х ) : 4 - 6 ) : 2 = 4
( 84 - 7х ) : 4 - 6 = 8
( 84 - 7х ) : 4 = 14
84 - 7х = 56
7х = 84 - 56
7х = 28
х = 28 : 7
х = 4
(( 84 - 7х ) : 4 - 6 ) : 2 + 68 = 72
( 84 - 7х ) : 4 - 6 ) : 2 = 4
( 84 - 7х ) : 4 - 6 = 8
( 84 - 7х ) : 4 = 14
84 - 7х = 56
7х = 84 - 56
7х = 28
х = 28 : 7
х = 4
Приложения:

Вас заинтересует
2 года назад
7 лет назад
9 лет назад
9 лет назад
10 лет назад