Ответы
Ответ дал:
0
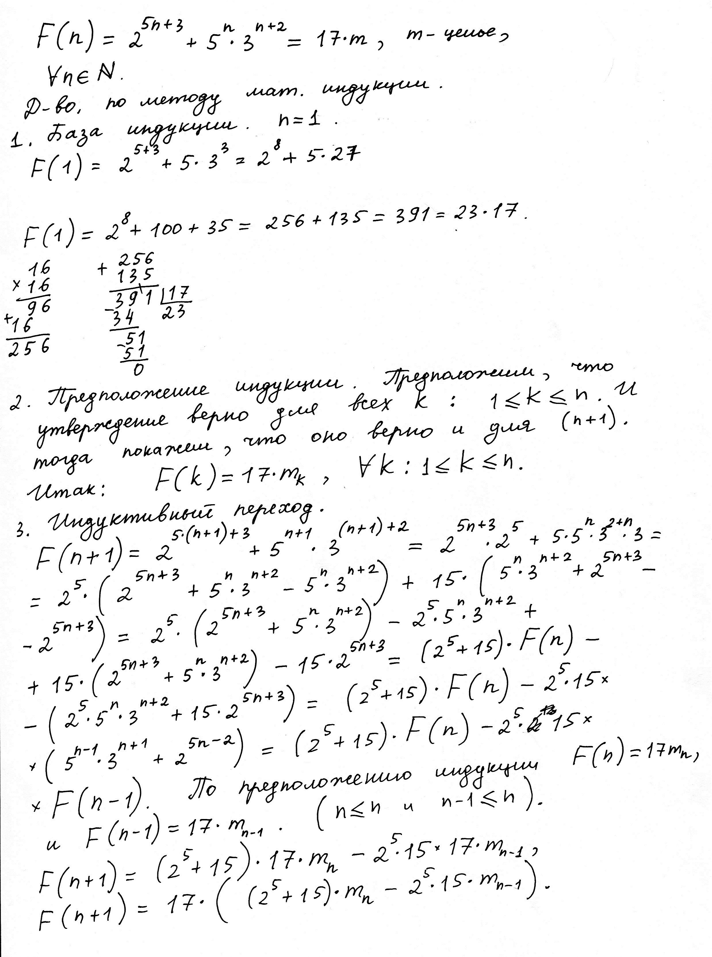
1) проверяем справедливость при n=1.

верно.
2) предполагаем что утверждение верно для n, тогда оно будет верно и для (n+1). Проверяем.

1 слагаемое суммы делиться на 17, т.к. содержит такой множитель.
2 слагаемое суммы тоже делится на 17, т.к. выражение в скобках делится на 17(по нашему предположению).
Значит и сумма делится на 17.
Согласно методу мат. индукции это будет справедливо для любых натуральных n.
верно.
2) предполагаем что утверждение верно для n, тогда оно будет верно и для (n+1). Проверяем.
1 слагаемое суммы делиться на 17, т.к. содержит такой множитель.
2 слагаемое суммы тоже делится на 17, т.к. выражение в скобках делится на 17(по нашему предположению).
Значит и сумма делится на 17.
Согласно методу мат. индукции это будет справедливо для любых натуральных n.
Ответ дал:
0
==========================================>>>>+++
Приложения:

Вас заинтересует
2 года назад
7 лет назад
7 лет назад