Найти производную для заданной функции.
Исследовать функцию на экстремум и построить ее график.
Приложения:

Ответы
Ответ дал:
0
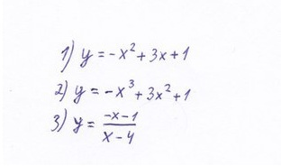
1) y'=-2х+3
-2х+3=0
х=3/2
max =3/2
возрастает от - бесконечности до 3/2
убывает от 3/2 до + бесконечности
2)y'=-x^2+6x
-x^2+6x=0
-3x(x-2)=0
x=0
x=2
минимум - 0
максимум 2
-2х+3=0
х=3/2
max =3/2
возрастает от - бесконечности до 3/2
убывает от 3/2 до + бесконечности
2)y'=-x^2+6x
-x^2+6x=0
-3x(x-2)=0
x=0
x=2
минимум - 0
максимум 2
Вас заинтересует
2 года назад
2 года назад
7 лет назад
7 лет назад
9 лет назад
9 лет назад
10 лет назад