!!!!пОМОгите решить!!!
Комплексные числа.
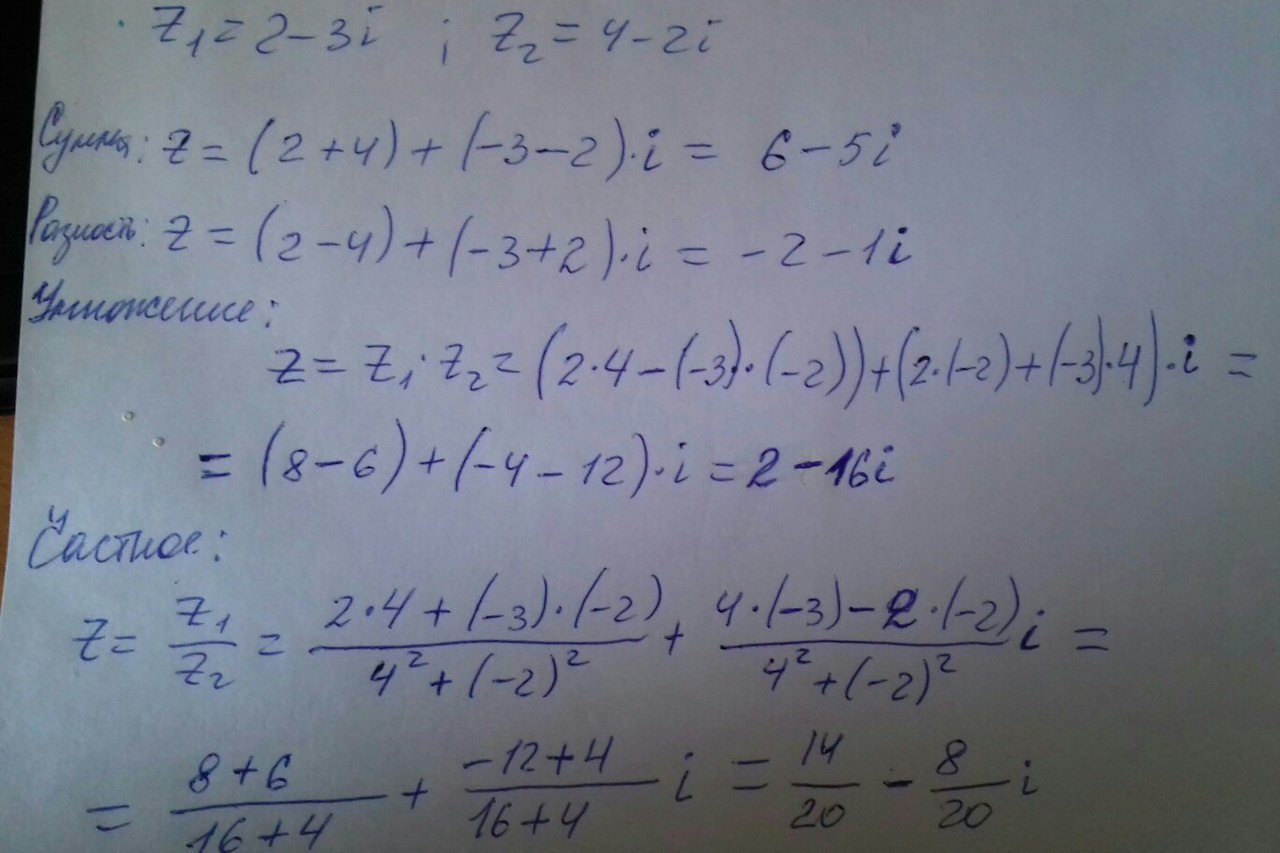
Найдите сумму, разность, умножение, частное.
z1=2-3i z2=4-2i
Ответы
Ответ дал:
0
Решение в прикрепленном файле
Приложения:

Вас заинтересует
2 года назад
2 года назад
7 лет назад
9 лет назад
9 лет назад