как изменится сила тока проходящего через проводник если уменьшить в 5 раз диаметр провода ,а длину проводника увеличить в 5 раз
Ответы
Ответ дал:
0
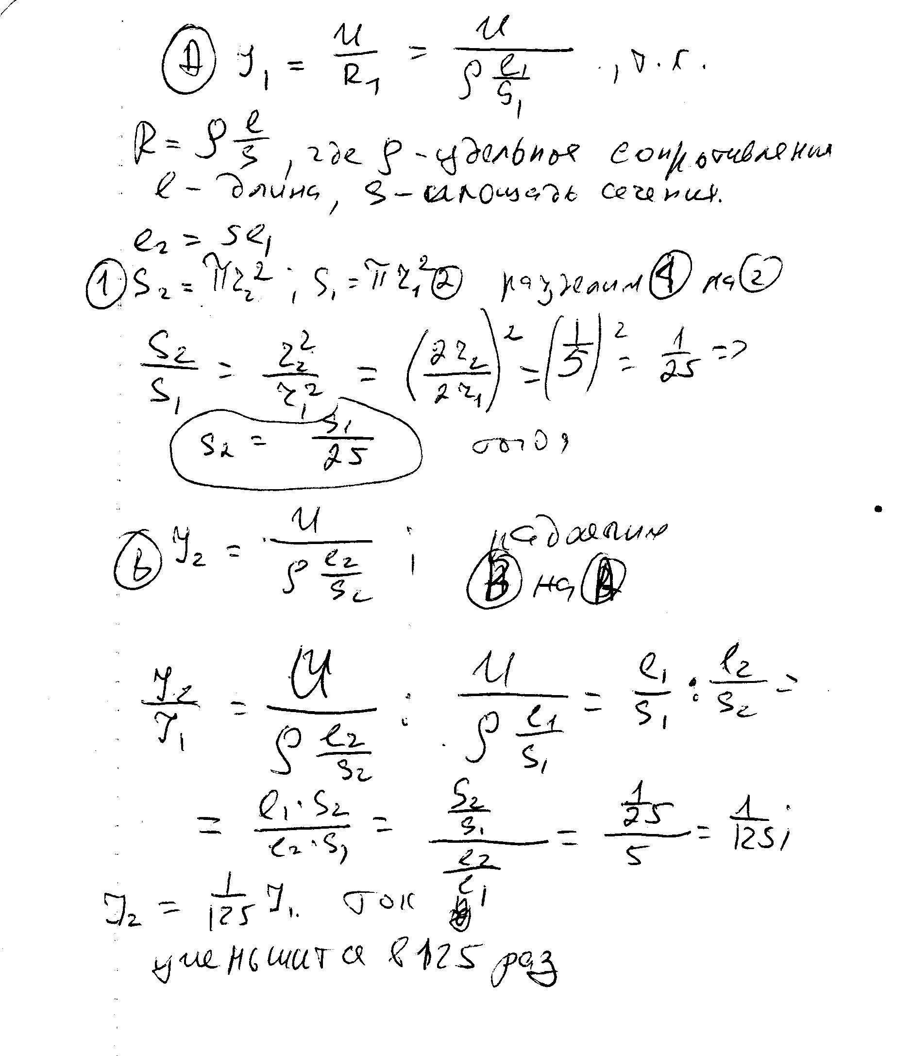
Надеюсь не напутал в арифметике.решение в скане..........
Приложения:

Вас заинтересует
2 года назад
7 лет назад
7 лет назад
9 лет назад
9 лет назад
10 лет назад
10 лет назад