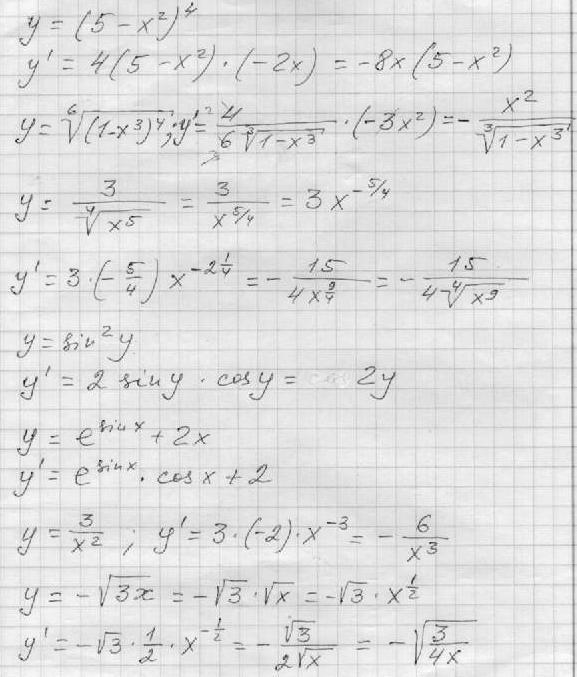
Тема производные:решите пожалуйста все примеры на листочке,завтра экзамен)))Спасибо вам заранее)))
Приложения:

Ответы
Ответ дал:
0
Успехов на экзамене!!!!!!!!!!!!!!
Приложения:

Вас заинтересует
7 лет назад
7 лет назад
9 лет назад
10 лет назад