• Предмет: Математика
  • Автор: Димазнайка
  • Вопрос задан 10 лет назад

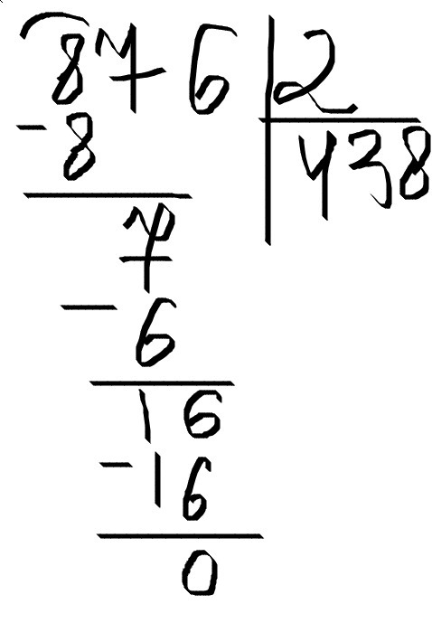
как разделить 876:2 в столбик

Ответы

Ответ дал: No03
0
решение на фото.........
Приложения:
Ответ дал: LoonaIvanova
0
вот )Надеюсь поможет
Приложения:
Вас заинтересует