Ответы
Ответ дал:
0
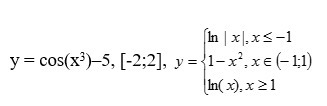
Вариант в Excel 2003
---------------------------
см. прикрепленные файлы.
---------------------------
см. прикрепленные файлы.
Приложения:


Ответ дал:
0
Большое спасибо!
Ответ дал:
0
Это т.е. два графика по формуле получается?
Ответ дал:
0
Там две формулы, через запятую.
Вас заинтересует
2 года назад
2 года назад
7 лет назад
9 лет назад
10 лет назад