Ответы
Ответ дал:
0
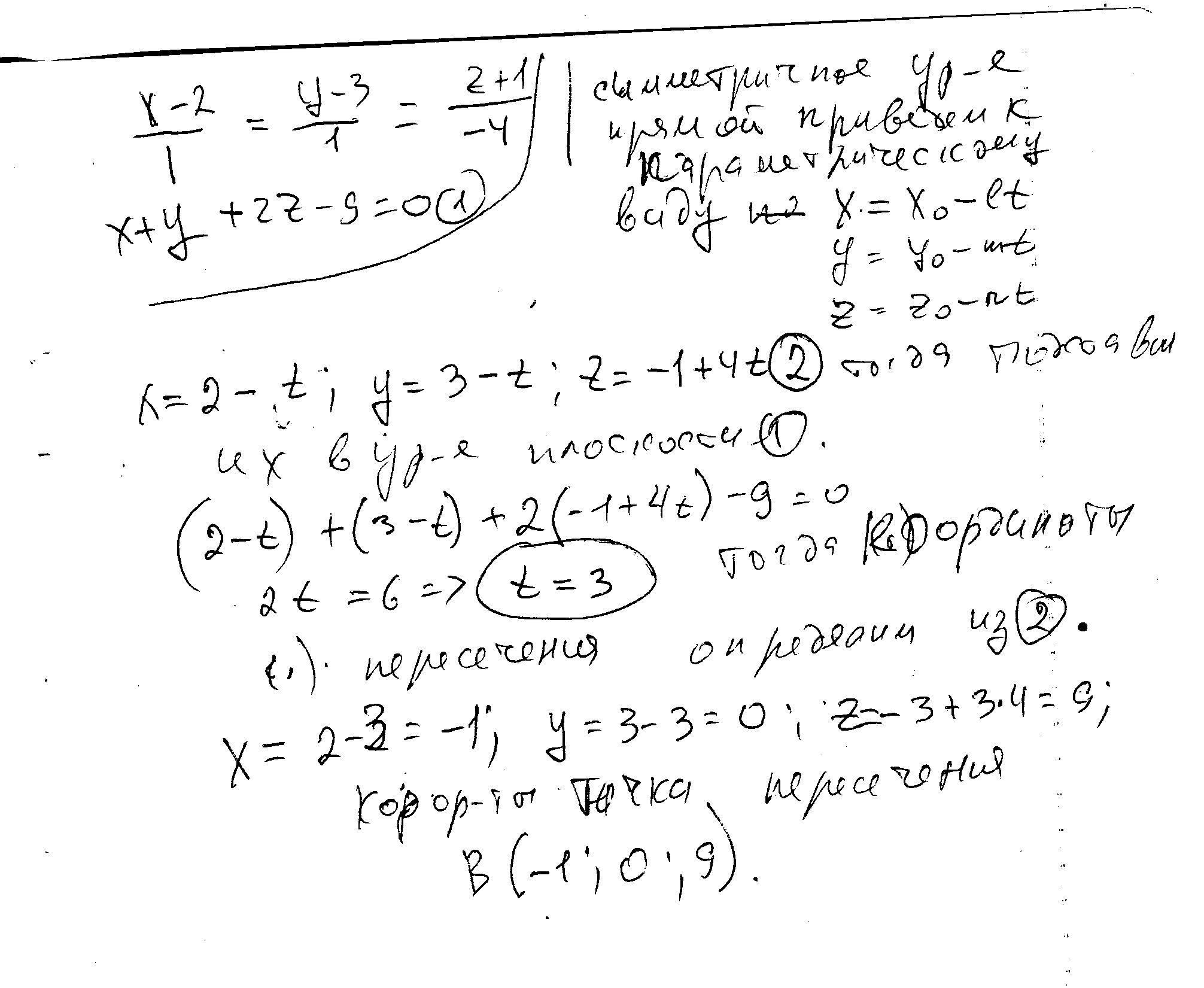
решение в скане..............
Приложения:

Вас заинтересует
2 года назад
7 лет назад
7 лет назад
9 лет назад
9 лет назад
10 лет назад