• Предмет: Алгебра
  • Автор: thelenk
  • Вопрос задан 10 лет назад

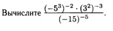
Помогите решить задание ниже

Приложения:

Ответы

Ответ дал: математик2011
0
= frac{ -5^{-6} * 3^{-6} }{ -15^{-5} } = frac{ -15^{-6} }{ -15^{-5} } = -15^{-6-(-5)} = -15^{-1} =- frac{1}{15}
Вас заинтересует