• Предмет: Алгебра
  • Автор: Aziza69
  • Вопрос задан 10 лет назад

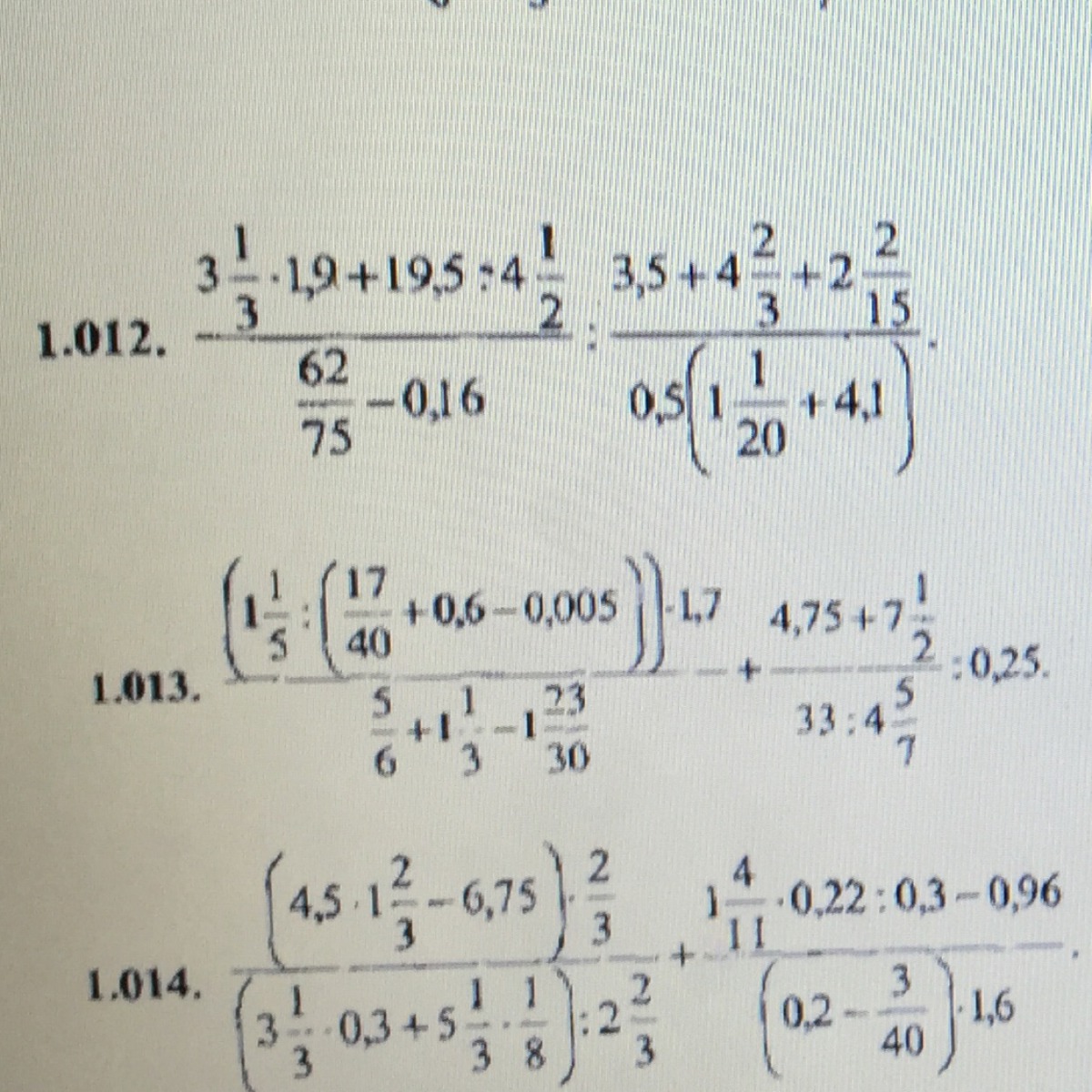
Пожалуйста решите 1.012

Приложения:

Ответы

Ответ дал: utyaninazhenya
0
ответ на данное задание 4. 
Вас заинтересует