Ответы
Ответ дал:
0
Вот решение. .................
Приложения:

Ответ дал:
0
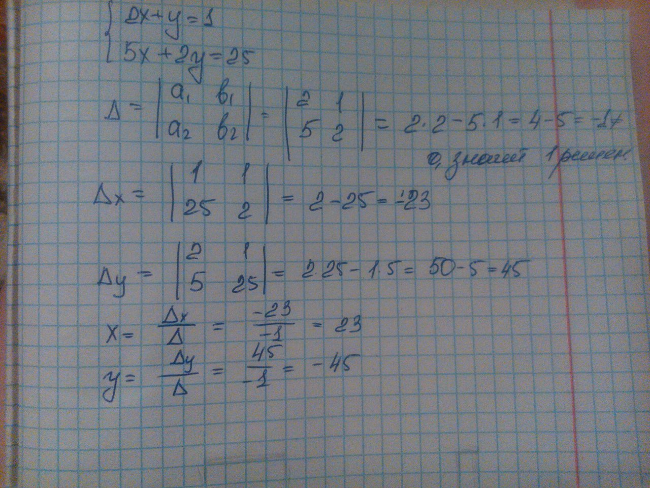
2x+y=1
5x+2y=25
у=1-2х
5х+2(1-2х)=25
у=1-2х
5х+2-4х=25
у=1-2х
х=23
у=-45
х=23
Ответ: (23: -45).
5x+2y=25
у=1-2х
5х+2(1-2х)=25
у=1-2х
5х+2-4х=25
у=1-2х
х=23
у=-45
х=23
Ответ: (23: -45).
Приложения:

Вас заинтересует
2 года назад
7 лет назад
7 лет назад
9 лет назад
10 лет назад
10 лет назад