• Предмет: Математика
  • Автор: BLACKBIRDvip
  • Вопрос задан 9 лет назад

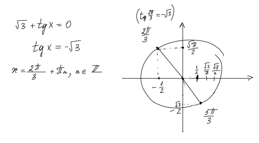
уравнение корень из 3+ tg x =0

6

Ответы

Ответ дал: UluanaV
0
Решение в прикрепленном файле.
Приложения:
Вас заинтересует