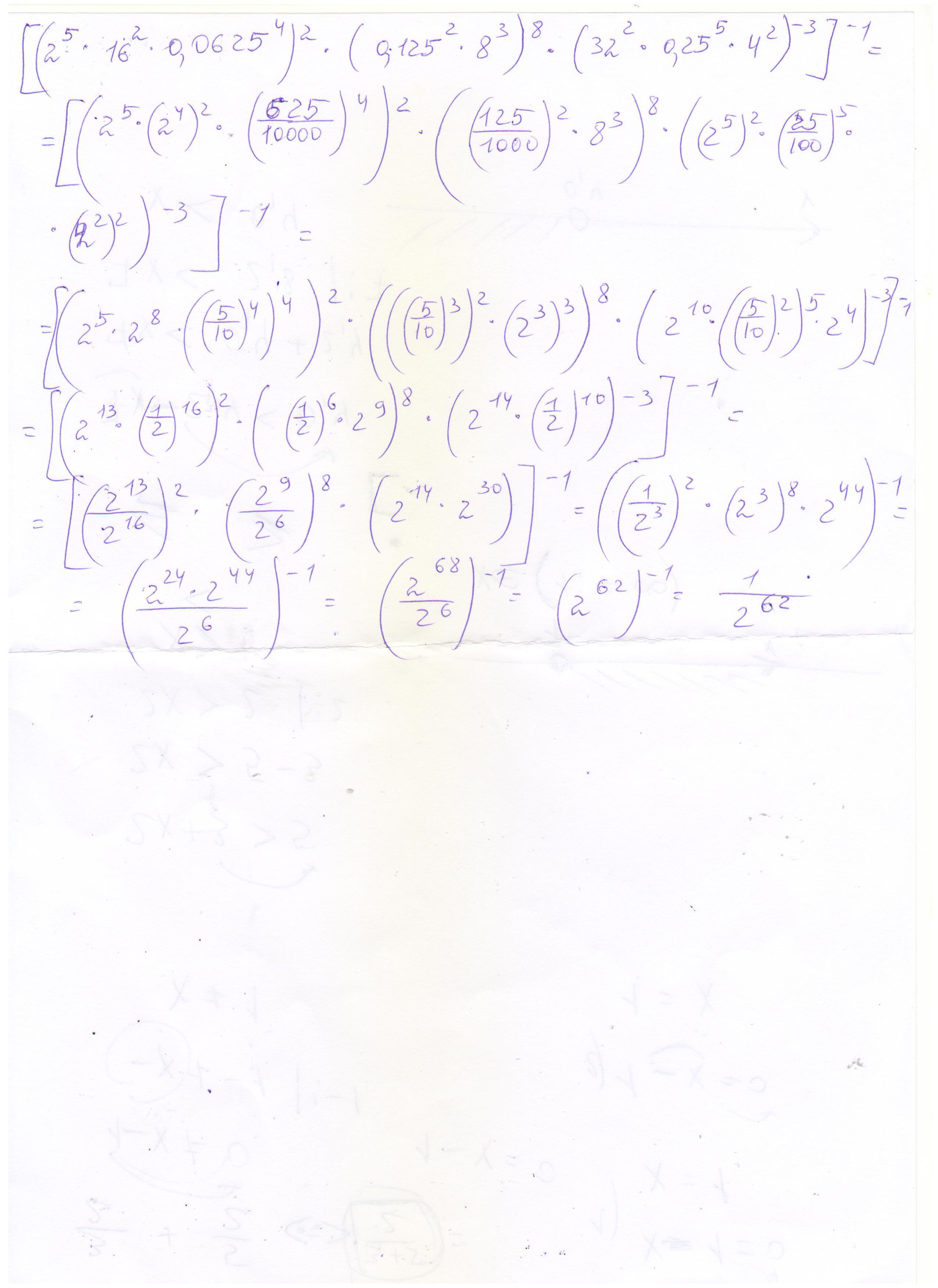
((2^5 * 16^2*0.0625^4)^2*(0.123^2*8^3)^8*(32^2*0.25^5*4^2)^-3)^-1
Как решить данное выражение? Я пробовала действовать по стандартному алгоритму , но ничего не получилось! Объясните пожалуйста тонкости работы с такими выражениями, как их упрощать, и как не допустить глупых ошибок при решении.
Ответы
Ответ дал:
0
смотри приложенный файл
Приложения:
Вас заинтересует
2 года назад
2 года назад
7 лет назад
7 лет назад
10 лет назад
10 лет назад
10 лет назад