Ответы
Ответ дал:
0
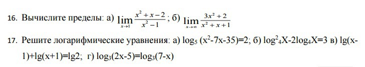
16 a, 17 a,b -------------------
Приложения:


Вас заинтересует
2 года назад
2 года назад
7 лет назад
9 лет назад
10 лет назад
10 лет назад