• Предмет: Алгебра
  • Автор: петрээ
  • Вопрос задан 10 лет назад

Помогите. Тригонометрия

Приложения:

Ответы

Ответ дал: NNNLLL54
0
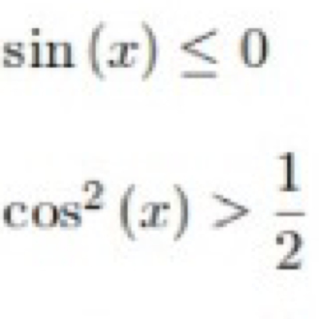
1)quad sinx leq 0\\-pi +2pi n leq x leq 2pi n; ,; nin Z\\2)quad cos^2x textgreater  frac{1}{2}\\frac{1+cos2x}{2} textgreater  frac{1}{2}\\frac{cos2x}{2} textgreater  0\\cos2x textgreater  0\\-frac{pi}{2}+2pi nleq 2x leq frac{pi}{2}+2pi n; ,; nin Z\\-frac{pi}{4}+pi nleq xleq frac{pi}{4}+pi n; ,; nin Z
Вас заинтересует