Ответы
Ответ дал:
0
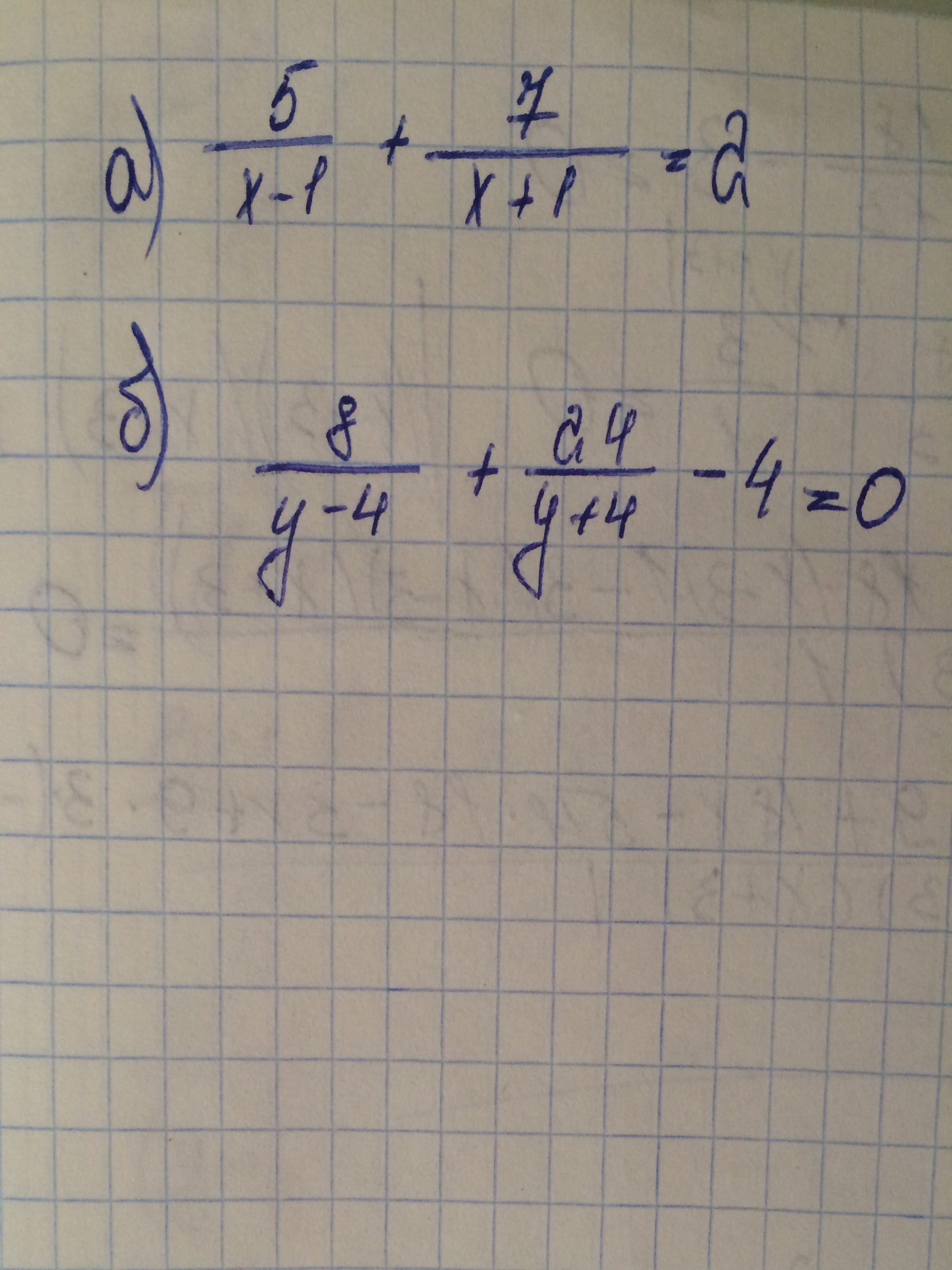
1)
5(х+1)+7(х-1)=2(х-1)(х+1)
5х+5+7х-7=2(х^2-1)
12х-2=2(х^2-1)
6х-1=х^2-1
х^2-1-6х+1=0
х^2-6х=0
х(х-6)=0
х1=0
х-6=0
х2=6
2)
8(у+4)+24(у-4)=4(у-4)(у+4)
2(у+4)+6(у-4)=(у-4)(у+4)
2у+8+6у-24=у^2-16
8у-16=у^2-16
у^2-16-8у+16=0
у^2-8у=0
у(у-8)=0
у1=0
у-8=0
у2=8
5(х+1)+7(х-1)=2(х-1)(х+1)
5х+5+7х-7=2(х^2-1)
12х-2=2(х^2-1)
6х-1=х^2-1
х^2-1-6х+1=0
х^2-6х=0
х(х-6)=0
х1=0
х-6=0
х2=6
2)
8(у+4)+24(у-4)=4(у-4)(у+4)
2(у+4)+6(у-4)=(у-4)(у+4)
2у+8+6у-24=у^2-16
8у-16=у^2-16
у^2-16-8у+16=0
у^2-8у=0
у(у-8)=0
у1=0
у-8=0
у2=8
Вас заинтересует
3 года назад
3 года назад
8 лет назад
8 лет назад
10 лет назад
10 лет назад
10 лет назад