• Предмет: Математика
  • Автор: okulovartem1
  • Вопрос задан 10 лет назад

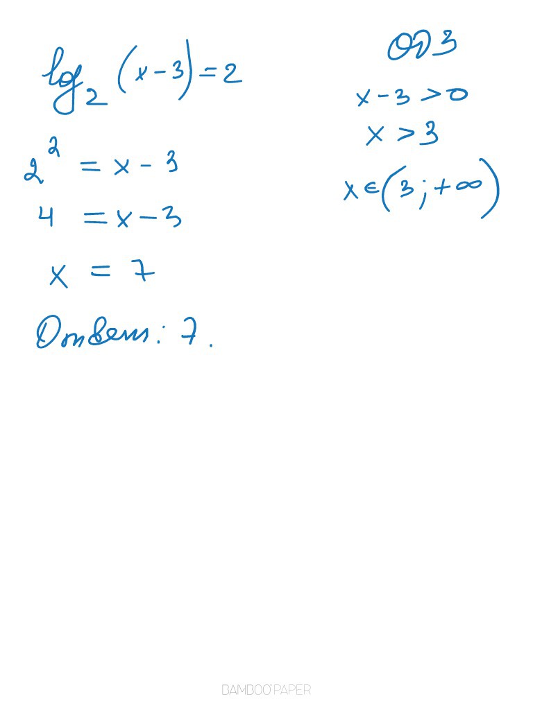
Помогите решить log_{2}(x-3)=2

Ответы

Ответ дал: KseniaHarlequin
0
Решение данного уравнения
Приложения:
Вас заинтересует