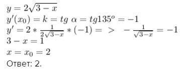
на графике функции у=2 корень из 3-х найдите абсциссу точки в которой касательная образует с положительным направлением оси абсцисс угол 135
Ответы
Ответ дал:
0
Ответ: 2.
Приложения:

Вас заинтересует
2 года назад
7 лет назад
9 лет назад
9 лет назад