• Предмет: Алгебра
  • Автор: Алёнка2565
  • Вопрос задан 11 лет назад

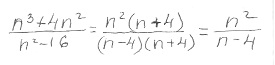
Помогите номер 7.очень надо

Приложения:

Ответы

Ответ дал: Ellenochka
0

____________________________

Приложения:
Вас заинтересует