• Предмет: Алгебра
  • Автор: Соломоныч
  • Вопрос задан 11 лет назад

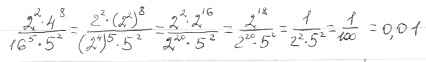
сократите дробь 2^2*4^8/16^5*5^2

Ответы

Ответ дал: Ellenochka
0

______________________________________

Приложения:
Ответ дал: Сиэла
0

2^2*4^8/16^5*5^2=frac{2^{2}*4^{8}}{4^{10}*5^{2}}=4^{8-10}*frac{4}{25}=4^{-2}*frac{4}{25}=frac{1}{16}*frac{4}{25}=frac{1}{100}=0.01[/tex]

Приложения:
Вас заинтересует