Марат и Антон стартовали одновременно в одном направлении. Скорость Марата 6,7м / с, а скорость Антона в 2 раза меньше. Найдите расстояние между ними через 4,2 ч
Ответы
Ответ дал:
0
Решение данной задачи
P.S. Не хило они бегут
P.S. Не хило они бегут
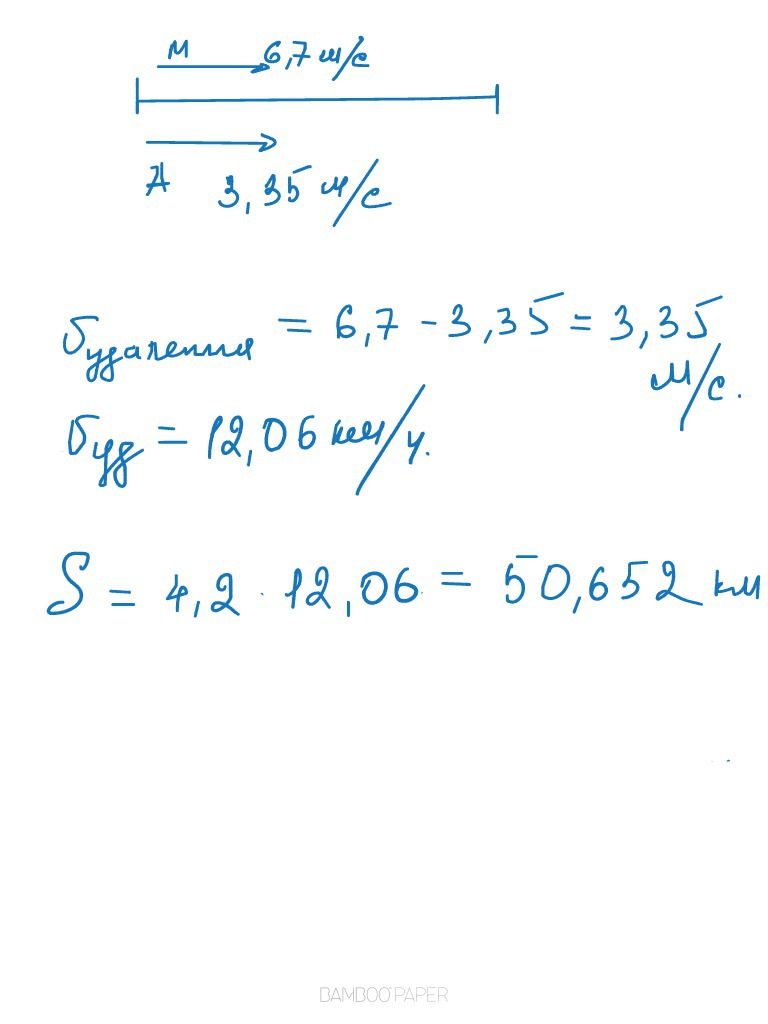
Приложения:

Ответ дал:
0
Это бегуны мутанты из людей x
Ответ дал:
0
Вы же понимаете, что если в течении часа невозможно сохранить скорость, то в течении 4,2 часа в особенности невозможно.
Ответ дал:
0
Мутанты Марат и Антон? Х)
Ответ дал:
0
рукалицо
Ответ дал:
0
Согласен!!!!!!!! :-) точно мутанты :-D
Ответ дал:
0
1) 6,7 м/с : 2 = 3,35 (м/с) скорость Антона
2) 4,2 ч. = 4,2*60*60 = 15120 сек.
6,7 *15120 = 101304 м = 101,304 (км) расстояние, которое пробежит Марат за 4,2 часа
3) 3,35 * 15120 = 50652 м = 50,652 (км) расстояние, которое пробежит Антон за 4,2 часа
4) 101,304 -50,652 = 50,652 (км) расстояние между ними
или
1) 6,7 :2 = 3,35 (м/с) скорость Антона
2) 6,7-3,35 = 3,35 (м/с) скорость удаления
2) 4,2 ч. =15120 сек.
3,35 *15120 = 50652 м = 50,652 км - расстояние между ними через 4,2 часа
или
1) 6,7 м/с = (6,7*3,6) км/ч = 24,12 (км/ч) скорость Марата
2) 24,12:2 = 12,06 (км/ч) скорость Антона
3) 24,12 -12,06 =12,06 (км/ч) скорость удаления
4) 12,06 * 4,2 = 50,652 (км) расстояние, которое будет между ними через 4,2 часа
Ответ: 50,652 км.
2) 4,2 ч. = 4,2*60*60 = 15120 сек.
6,7 *15120 = 101304 м = 101,304 (км) расстояние, которое пробежит Марат за 4,2 часа
3) 3,35 * 15120 = 50652 м = 50,652 (км) расстояние, которое пробежит Антон за 4,2 часа
4) 101,304 -50,652 = 50,652 (км) расстояние между ними
или
1) 6,7 :2 = 3,35 (м/с) скорость Антона
2) 6,7-3,35 = 3,35 (м/с) скорость удаления
2) 4,2 ч. =15120 сек.
3,35 *15120 = 50652 м = 50,652 км - расстояние между ними через 4,2 часа
или
1) 6,7 м/с = (6,7*3,6) км/ч = 24,12 (км/ч) скорость Марата
2) 24,12:2 = 12,06 (км/ч) скорость Антона
3) 24,12 -12,06 =12,06 (км/ч) скорость удаления
4) 12,06 * 4,2 = 50,652 (км) расстояние, которое будет между ними через 4,2 часа
Ответ: 50,652 км.
Приложения:

Вас заинтересует
2 года назад
2 года назад
9 лет назад
10 лет назад