площадь осевого сечения конуса равна 24 а площадь его основания 36пи. найдите обьем конуса
решите с рисунком пожалуйста)))
Ответы
Ответ дал:
0
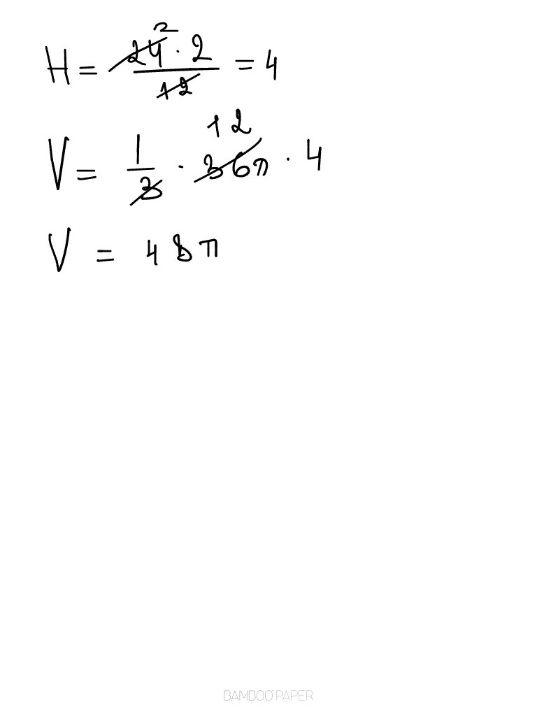
Sсеч=1/2*2R*h=Rh=24
Sосн=πR²=36π
R²=36
R=6
h=24/6=4
V=1/3*Sосн *h=1/3*36π*4=48π
Sосн=πR²=36π
R²=36
R=6
h=24/6=4
V=1/3*Sосн *h=1/3*36π*4=48π
Ответ дал:
0
Правильно ??????
Ответ дал:
0
Решение данного задания
Приложения:


Вас заинтересует
7 лет назад
9 лет назад
9 лет назад
10 лет назад