Ответы
Ответ дал:
0
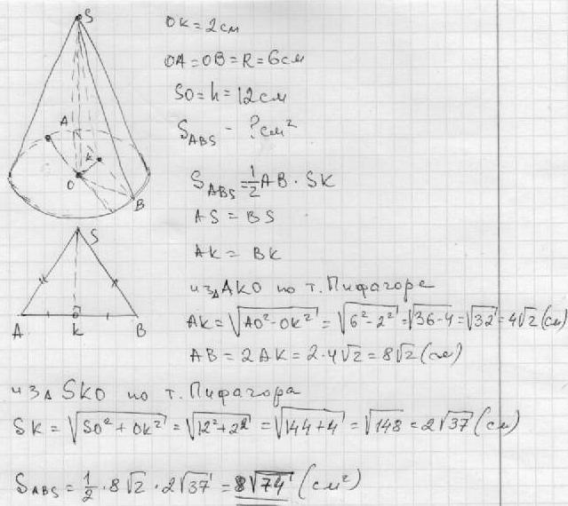
Надеюсь всё понятно!
Приложения:

Вас заинтересует
2 года назад
9 лет назад
10 лет назад