• Предмет: Алгебра
  • Автор: yurmalnikroman
  • Вопрос задан 9 лет назад

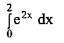
пожалуйста Вычислите  интеграл: :↓☻

Приложения:

Ответы

Ответ дал: kirichekov
0
 intlimits^2_0 { e^{2x} } , dx = frac{1}{2} * e^{2x}| _{0}   ^{2} = frac{1}{2} *( e^{2*2} - e^{2*0} )= frac{1}{2} *( e^{4}-1 )
Вас заинтересует