Ответы
Ответ дал:
0
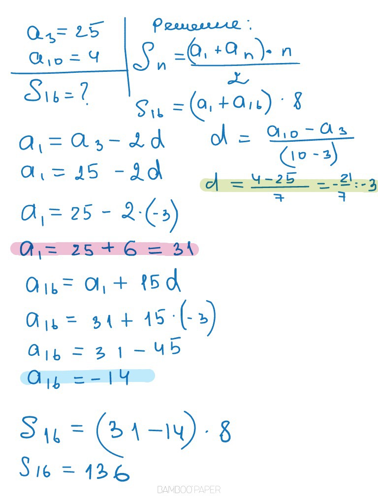
Решение данного задания
Приложения:

Ответ дал:
0
Спасибо огромное,Ксения !:)
Ответ дал:
0
Пожалуйста)
Вас заинтересует
2 года назад
2 года назад
7 лет назад
7 лет назад
9 лет назад
9 лет назад
10 лет назад