Ответы
Ответ дал:
0
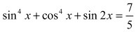
(1-cos2x)²/4+(1+cos2x)²/4+sin2x=7/5
5-10cos2x+5cos²2x+5+10cos2x+5cos²2x+20sin2x-28=0
10cos²2x+20sin2x-18=0
10-10sin²2x+20sin2x-18=0
sin2x=a
10a²-20a+8=0
5a²-10a+4=0
D=100-80=20
a1=(10-2√5)/10=1-0,2√5⇒sin2x=1-0,2√5
2x=(-1)^arcsin(1-0,2√5)+πn⇒x=(-1)^n*0,5arcsin(1-0,2√5)+πn/2,n∈z
a2=1+0,2√5⇒sinx=1+0,2√5>1 нет решения
5-10cos2x+5cos²2x+5+10cos2x+5cos²2x+20sin2x-28=0
10cos²2x+20sin2x-18=0
10-10sin²2x+20sin2x-18=0
sin2x=a
10a²-20a+8=0
5a²-10a+4=0
D=100-80=20
a1=(10-2√5)/10=1-0,2√5⇒sin2x=1-0,2√5
2x=(-1)^arcsin(1-0,2√5)+πn⇒x=(-1)^n*0,5arcsin(1-0,2√5)+πn/2,n∈z
a2=1+0,2√5⇒sinx=1+0,2√5>1 нет решения
Вас заинтересует
2 года назад
2 года назад
7 лет назад
7 лет назад
10 лет назад
10 лет назад